960化工网
Enantio- and periselective nitroalkene Diels–Alder reaction†‡
Maurice J. Narcis,Daniel J. Sprague,Burjor Captain,Norito Takenaka
Organic & Biomolecular Chemistry Pub Date : 10/11/2012 00:00:00 , DOI:10.1039/C2OB26674A
Abstract

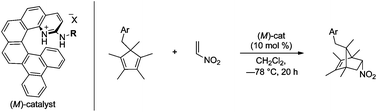
The periselective Diels–Alder reaction of 5-substituted pentamethylcyclopentadienes and nitroethylene has been realized by helical–chiral hydrogen bond donor catalysts. To our knowledge, this represents the first asymmetric catalytic nitroalkene Diels–Alder reaction via activation of nitroalkene, and thus establishes its proof-of-principle.

Graphical abstract: Enantio- and periselective nitroalkene Diels–Alder reaction
平台客服
平台客服
平台在线客服