960化工网
Mixed pentafluorophenyl and o-fluorophenyl esters of aliphatic dicarboxylic acids: efficient tools for peptide and protein conjugation†
Adam T. Ślósarczyk,Thomas Norberg,Lars Baltzer
RSC Advances Pub Date : 11/29/2011 00:00:00 , DOI:10.1039/C1RA00530H
Abstract

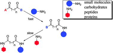
An efficient methodology for the heteroconjugation of biomolecules with exposed free amino groups has been developed. Mixed pentafluorophenyl and o-fluorophenyl esters of aliphatic dicarboxylic acids with aliphatic chains of varying sizes have been prepared and used to conjugate a 42-residue polypeptides with short model peptides as well as a model dodecapeptide with the antigenic determinant of type B blood, a carbohydrate derivative, to form a glycopeptide. The concept is based on the difference in reactivity towards primary amino groups between phenyl esters with leaving groups of unlike pKa. The reactivities of several pentafluorophenyl and o-fluorophenyl esters towards amino groups were carefully determined under reaction conditions to identify leaving group combinations that would provide optimal differences in reactivity for maximum yields of heteroconjugate formation while keeping the reasonable reaction times. Pentafluorophenyl esters react faster with an amino group and require a weaker base, while an o-fluorophenyl ester requires a stronger base and longer reaction time. The method described is economic, quick and gives complete control over the conjugation reaction. The size of the spacer is conveniently varied by selection of the appropriate aliphatic dicarboxylic acid. While the presented examples describe conjugation reactions of polypeptides with a maximum of 42 residues it is envisioned that the bifunctional linkers reported here will find their most important applications in the heteroconjugation of proteins using lysine side chains, a reaction for which currently few alternatives exist, if access to spacers of variable size is required.

Graphical abstract: Mixed pentafluorophenyl and o-fluorophenyl esters of aliphatic dicarboxylic acids: efficient tools for peptide and protein conjugation
平台客服
平台客服
平台在线客服