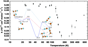
The gas phase reaction between the CN radical and acetonitrile CH3CN was investigated experimentally, at low temperatures, with the CRESU apparatus and a slow flow reactor to explore the temperature dependence of its rate coefficient from 354 K down to 23 K. Whereas a standard Arrhenius behavior was found at T > 200 K, indicating the presence of an activation barrier, a dramatic increase in the rate coefficient by a factor of 130 was observed when the temperature was decreased from 168 to 123 K. The reaction was found to be pressure independent at 297 K unlike the experiments carried out at 52 and 132 K. The work was complemented by ab initio transition state theory based master equation calculations using reaction pathways investigated with highly accurate thermochemical protocols. The role of collisional stabilization of a CN⋯CH3CN van der Waals complex and of tunneling induced H atom abstractions were also considered. The experimental pressure dependence at 52 and 132 K is well reproduced by the theoretical calculations provided that an anharmonic state density is considered for the van der Waals complex CH3CN⋯CN and its Lennard-Jones radius is adjusted. Furthermore, these calculations indicate that the experimental observations correspond to the fall-off regime and that tunneling remains small in the low-pressure regime. Hence, the studied reaction is essentially an association process at very low temperature. Implications for the chemistry of interstellar clouds and Titan are discussed.
