960化工网
Reversible click chemistry at the service of macromolecular materials†
Alessandro Gandini,Armando J. D. Silvestre,Dora Coelho
Polymer Chemistry Pub Date : 05/18/2011 00:00:00 , DOI:10.1039/C1PY00125F
Abstract

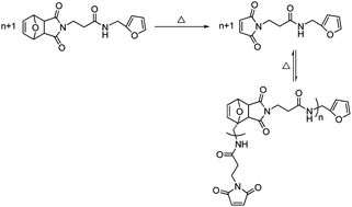
The application of the reversible Diels–Alder (DA) reaction to the realm of furan polymers has recently bloomed, because of its potential for the preparation of a wide variety of novel macromolecular materials based on renewable resources, possessing, among other properties, thermoreversible, mendable and recycling features. In this study, the synthesis and characterisation of novel furanmaleimide monomers, viz. AB-type molecules, and their polycondensation by means of the DA reaction, are presented. These systems represent an interesting alternative to the traditional linear DA polycondensations, because they ensure the ideal initial stoichiometry. The behaviour of two A–B monomers was investigated with the maleimide group protected in the form of a furan–DA adduct in order to obtain a stable monomer and thus avoid premature polymerization. Their polycondensation was then followed after the in situ deprotection at high temperature, followed by the cooling to the appropriate temperature for the DA polymerization to occur.

Graphical abstract: Reversible click chemistry at the service of macromolecular materials
平台客服
平台客服
平台在线客服