960化工网
Stereochemistry of a bifunctional dihydroceramide Δ4-desaturase/hydroxylase from Candida albicans; a key enzyme of sphingolipid metabolism
Christoph Beckmann,Janine Rattke,Petra Sperling,Ernst Heinz,Wilhelm Boland
Organic & Biomolecular Chemistry Pub Date : 06/10/2003 00:00:00 , DOI:10.1039/B303939K
Abstract

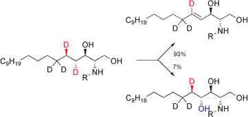
The stereochemical course of the dihydroceramide Δ4-(E)-desaturase from Candidaalbicans, cloned and expressed in the yeast Saccharomyces cerevisiae strain sur2Δ, was determined using stereospecifically labelled (2R,3S)-[2,3,4,4-2H4]-palmitic acid as a metabolic probe. Mass spectrometric analysis of the dinitrophenyl-derivatives of the labelled long-chain bases revealed elimination of a single deuterium atom from C(4) (corresponding to the C(4)-HR) along with a hydrogen atom from C(5) (corresponding to the C(5)-HS). This finding is consistent with an overall syn-elimination of the two vicinal hydrogen atoms. Besides the desaturation product sphingosine (93%) minor amounts of a 4-hydroxylated product (phytosphinganine, 7%) were identified that classify the Candida enzyme as a bifunctional desaturase/hydroxylase. Both processes, desaturation and hydroxylation proceed with loss of C(4)-HR from the chiral precursor. This finding is in agreement with a two-step process involving activation of the substrate by removal of the C(4)-HR to give a C-centred radical or radicaloid followed by either disproportionation into an olefin, water and a reduced diiron complex, or to recombination of the primary reactive intermediate with an active site-bound oxygen to yield a secondary alcohol. This result demonstrates the close mechanistic relationship between desaturation and hydroxylation as two different reaction pathways of a single enzyme and strengthens the mechanistic relationship of desaturases from fatty acid metabolism and sphingolipids.

Graphical abstract: Stereochemistry of a bifunctional dihydroceramide Δ4-desaturase/hydroxylase from Candida albicans; a key enzyme of sphingolipid metabolism
平台客服
平台客服
平台在线客服