960化工网
Stereoselective synthesis and biological evaluation of d-fagomine, d-3-epi-fagomine and d-3,4-epi-fagomine analogs from d-glyceraldehyde acetonide as a common building block†
J. Alberto Díez,José A. Gálvez,María D. Díaz-de-Villegas,Ramón Badorrey,Barbara Bartholomew,Robert J. Nash
Organic & Biomolecular Chemistry Pub Date : 10/11/2012 00:00:00 , DOI:10.1039/C2OB26732B
Abstract

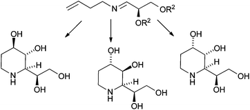
The stereoselective synthesis of D-fagomine, D-3-epi-fagomine, and D-3-epi-fagomine analogs starting from readily available D-glyceraldehyde acetonide has been achieved. The synthesis involves diastereoselective anti-vinylation of its homoallylimine, ring-closing metathesis, and stereoselective epoxidation followed by regioselective ring-opening or stereoselective dihydroxylation. The lack of a strong activity as glycosidase inhibitors of these compounds could be advantageous for their therapeutic use as chaperones.

Graphical abstract: Stereoselective synthesis and biological evaluation of d-fagomine, d-3-epi-fagomine and d-3,4-epi-fagomine analogs from d-glyceraldehyde acetonide as a common building block
平台客服
平台客服
平台在线客服