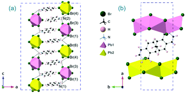
Three new 1D chain structure type hybrid organic–inorganic lead(II) halides are presented: IQPbBr3, QPbBr3 and QPbI3, templated by large organic cations, isoquinolinium ([IQ+] = protonated isoquinoline) and its isomer quinolonium ([Q+] = protonated quinoline). All three compounds possess the same generic formula as cubic perovskite, ABX3, but adopt different structures. IQPbBr3 adopts a 1D face-sharing single chain hexagonal perovskite structure type, and the other two, QPbBr3 and QPbI3, adopt a non-perovskite structure which is built from 1D edge-sharing octahedral double chains. Crystal structures and preliminary photophysical properties are discussed. Two of them have lower bandgaps than the other reported materials with the same structure type, indicating the value of further exploratory studies for these types of materials.
