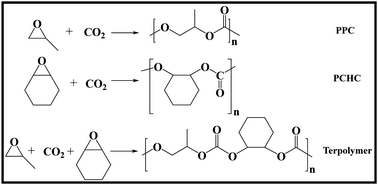
The application of Co–Zn double-metal cyanide (DMC) complexes as catalysts for selective terpolymerization of propylene oxide, cyclohexene oxide and CO2 producing polycarbonates is reported for the first time. DMC complexes were prepared with and without using a co-complexing agent. The catalyst with monoclinic/rhombohedral crystal structure and strong Lewis acidity, prepared without using a co-complexing agent showed higher initial activity than that with a cubic structure prepared using a co-complexing agent. Interestingly, no induction period in the terpolymerization reaction was observed. The terpolymer has 75.5 mol% of carbonate fraction in its composition and an average molecular weight of 22 700 and polydispersity index of 2.97. It is characterized by a Tg of 55 °C. This structure-induced catalytic activity of DMC can open up new avenues for its applications in other reactions. The influence of process parameters on the catalytic activity of DMC was investigated.
