960化工网
Tuning two-photon absorption cross-sections for triphenylamine derivatives†
Richard D. Webster,Yee-Hing Lai
RSC Advances Pub Date : 07/30/2013 00:00:00 , DOI:10.1039/C3RA42789G
Abstract

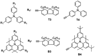
A methylene bridge link connecting the ortho-positions within the triphenylamine scaffold increases the molecular planarity significantly. The one-photon spectroscopies of bridged triphenylamine molecules show considerable extended conjugation relative to their triphenylamine counterparts, leading to enhanced two-photon absorption (TPA) cross-sections. Various substituents at the scaffold have been prepared and studied. Using a femtosecond laser source Z-scan method, the TPA cross-sections were characterized. The maximum magnitude of the TPA cross-section is ∼4800 GM, which is four times that of its triphenylamine counterpart.

Graphical abstract: Tuning two-photon absorption cross-sections for triphenylamine derivatives
平台客服
平台客服
平台在线客服