960化工网
An ultrasensitive electrochemical mercury(ii) ion biosensor based on a glassy carbon electrode modified with multi-walled carbon nanotubes and gold nanoparticles
Xiaocui Lu,Xiao Dong,Yuzhong Zhang
Analytical Methods Pub Date : 07/30/2012 00:00:00 , DOI:10.1039/C2AY25634G
Abstract

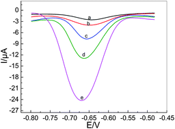
In this work, we describe the fabrication of an ultrasensitive electrochemical biosensor for the determination of the mercury(II) ion (Hg2+) in aqueous solution. The biosensor is based on a glassy carbon electrode (GCE) modified with multi-walled carbon nanotubes (MWCNTs) and gold nanoparticles (Au-NPs). Probe DNA (HS-DNA) was then covalently linked to the surface of the Au-NPs/MWCNTs via Au–S bonds. In the presence of Hg2+, the probe DNA can hybridize with the target DNA to form duplex DNA via the strong and specific binding of Hg2+ by two DNA thymine bases (T–Hg2+–T). Differential pulse voltammetry was employed to investigate the hybridization process and measure the changes in peak current intensity of intercalated adriamycin in the presence of different concentrations of Hg2+. The increase in peak current intensity of adriamycin was linear with an increase in the concentration of Hg2+ in the range from 0.1 to 20 nmol L−1 with a detection limit of 0.03 nmol L−1 (S/N = 3) under the optimal conditions. In addition, the biosensor exhibits good selectivity, stability and reproducibility.

Graphical abstract: An ultrasensitive electrochemical mercury(ii) ion biosensor based on a glassy carbon electrode modified with multi-walled carbon nanotubes and gold nanoparticles
平台客服
平台客服
平台在线客服