960化工网
Anion-dependent assembly and solvent-mediated structural transformations of three Cd(ii) coordination polymers based on 1H-imidazole-4-carboxylic acid†
Song-Liang Cai,Mei Pan,Sheng-Run Zheng,Jing-Bo Tan,Jun Fan,Wei-Guang Zhang
CrystEngComm Pub Date : 01/30/2012 00:00:00 , DOI:10.1039/C2CE06129E
Abstract

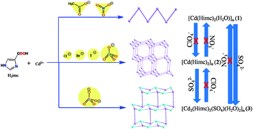
Three new Cd(II) coordination polymers with 1H-imidazole-4-carboxylic acid (Himc), [Cd(Himc)2(H2O)]n (1), [Cd(Himc)2]n (2) and [Cd2(Himc)2(SO4)(H2O)2]n (3) were perpared by solvothermal reactions and structurally characterized, which all comprised metal–negative ligand systems. Compound 1 exhibit a 1D zigzag chain; compound 2 features a 3D diamondoid work; while compound 3 possesses a 2D layer structure consisting of rhomboid grids. When 1 or 2 was left in a water/ethanolic solution of Na2SO4, their 1D or 3D framework was transformed into a 2D framework of 3. All compounds also displayed structure-related photoluminescent properties in the solid state.

Graphical abstract: Anion-dependent assembly and solvent-mediated structural transformations of three Cd(ii) coordination polymers based on 1H-imidazole-4-carboxylic acid
平台客服
平台客服
平台在线客服