Covering: up to 2016
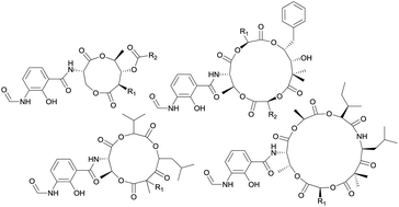
Antimycin-type depsipeptides are a family of natural products with great structural diversity and outstanding biological activities. These compounds have typically been isolated from actinomycetes and are generated from hybrid nonribosomal peptide synthetase (NRPS)-polyketide synthase (PKS) assembly lines. This review covers the literature on the four classes of antimycin-type depsipeptides, which differ by macrolactone ring size, and it discusses the discovery, biosynthesis, chemical synthesis, and biological activities of this family of compounds.
