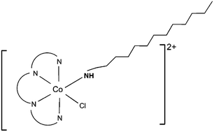
The cytotoxic potential of the surfactant–cobalt(III) complex (metallosurfactant) cis-[Co(trien)(C14H29NH2)Cl](ClO4)2 was tested on the MCF-7 breast cancer cell. The viability of the treated cell was evaluated by adopting MTT assay. The mode of cell death was assessed by adopting different morphological, cellular and molecular methods such as comet assay for DNA damage and apoptosis assays (Hoechst staining, acridine orange & ethidium bromide (AO & EB) staining and Annexin V-Cy3 assay). Mitochondria-mediated apoptosis was tested using JC-1 dye. Cell cycle analysis was made by adopting flow cytometry, and the expression of some key pro- and anti-apoptotic proteins was analyzed by adopting Western blotting. The surfactant–cobalt(III) complex induced cell death in a dose- and time-dependent manner. The mode of cell death was essentially apoptosis though necrosis was also noticed. Flow cytometric analysis indicated that the treatment caused cell cycle arrest, as indicated in the accumulation of cells in the sub-G0 + G1 compartment. Western blot analysis revealed the up-regulation of pro-apoptotic p53 and Bax proteins and down-regulation of anti-apoptotic Bcl-2 protein. The study revealed the antiproliferative and apoptosis-induction properties of the surfactant–cobalt(III) complex in an MCF-7 breast cancer cell, primarily by inducing DNA damage and possibly through elevation of ROS levels.
