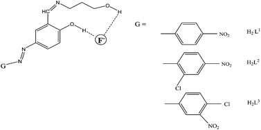
The optical and colorimetric sensing properties of H2L1–H2L3 for anions were investigated by the naked eye and UV-Vis and fluorescence spectroscopy. These chemosensors show visual changes towards anions like F− and also towards cations such as Hg2+ and Cd2+ in DMSO. Yet, other anions such as Cl−, Br−, NO3−, OAc−, HSO4−, H2PO4− and CN− could not cause any color change. The ligands do not show any significant change on addition of other metal ions like Mn2+, Fe+2, Co+2, Ni2+, Cu+2 and Zn2+. The binding constant (Ka) and stoichiometry of the host–guest complex formed were determined by the Benesi–Hildebrand (B–H) plot and Job's plot method, respectively. The anion sensing abilities of the receptors toward halide anions were also monitored by electrochemical techniques.
