Covering: 2000 to 2022
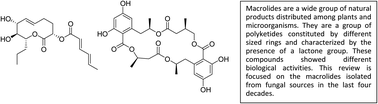
Natural products are a vital source of compounds for use in agriculture, medicine, cosmetics, and other fields. Macrolides are a wide group of natural products found in plants and microorganisms. They are a group of polyketides constituted of different-sized rings and characterized by the presence of a lactone group. These compounds show different biological activities, such as antiviral, antiparasitic, antifungal, antibacterial, immunosuppressive, herbicidal, and cytotoxic activities. This review is focused on macrolides isolated from fungal sources, examining their biological activities, stereochemistry, and structure–activity relationships. The review reports the chemical and biological characterization of fungal macrolides isolated in the last four decades, with assistance from SciFinder searches. A critical evaluation of the most recent reviews covering this area is also provided. The content provided in this review is of interest to chemists focusing on natural substances, plant pathologists and physiologists, botanists, mycologists, biologists, and pharmacologists. Furthermore, it is of interest to farmers and agri-food specialists and those working in the medicinal and cosmetic industries due to the potential practical application of macrolides. Politicians could also be interested in this class of natural compound, as the practical application of these macrolides in the above-cited fields could reduce environmental pollution and increase consumer satisfaction with respect to food, providing reduced or zero risk to human and animal health along with increased nutraceutical value.
