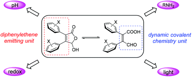
Diarylethenes (DAEs) are an important class of building blocks in chemistry and materials science, and hence, their modulation and functionalization are of critical significance. Here we demonstrate a general strategy of dynamic covalent chemistry (DCC) constrained diphenylethenes (DPEs) for the regulation of reactivity and luminescence. The reversible covalent sites of aldehyde and carboxyl groups on the ethene bridge of DPEs provided a modular and versatile platform. The impact of the DPE unit on the ring-chain tautomerization equilibrium between the aldehyde and its cyclic hemiacetal as well as dynamic covalent reactions (DCRs) with primary amines was systematically examined. The emission in different solvents was measured with varied quantum yields, and the feature of solid state luminescence enhancement was observed depending on the substituent effect. The shift of ring-chain equilibrium, DCRs with amines, and their response to base further enabled the differential modulation of the emission. Moreover, photocyclization/oxidation of DPEs induced notable changes in luminescence, affording multistate emission in conjunction with pH and redox stimuli. Finally, mechanochemical reactions with amines in the solid state were realized, significantly accelerating imine formation compared with that in solution and further achieving selective labeling of the sidechain amino group of lysine. The findings would open new possibilities in molecular assemblies, responsive materials, and biological labeling.
