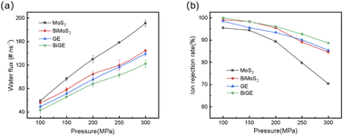
Following graphene and its derivatives, molybdenum disulfide (MoS2) has become a research hotspot in two-dimensional materials. Both graphene and MoS2 exhibit great potential in water treatment. A variety of nanoporous graphene or MoS2 membranes have been designed for water desalination. In this work, we compared the water flux and ion rejection of MoS2 and graphene nanopores, using molecular dynamics simulations. The simulation results demonstrate that monolayer nanopores have higher water fluxes than bilayer nanopores with lower ion rejection rates. MoS2 nanopores perform better than graphene in terms of water permeability. Exploration of the underlying mechanism indicates that the water molecules in the MoS2 pores have faster velocity and higher mass density than those in the graphene pores, due to the outer hydrophobic and inner hydrophilic edges of MoS2 pores. In addition, increasing the polarity of the pore edge causes a decrease in water flux while enhancement of ion rejection. Our findings may provide theoretical guidance for the design of MoS2 membranes in water purification.
