960化工网
Aromatic A-ring analogues of orobanchol, new germination stimulants for seeds of parasitic weeds†
Heetika Malik,Wouter Kohlen,Muhammad Jamil,Floris P. J. T. Rutjes,Binne Zwanenburg
Organic & Biomolecular Chemistry Pub Date : 11/08/2010 00:00:00 , DOI:10.1039/C0OB00735H
Abstract

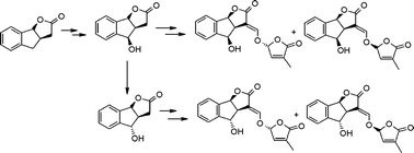
Strigolactones are signaling compounds in plants of increasing importance. In this paper the focus is on their activity as germinating agents for seeds of parasitic weeds. The syntheses of aromatic A-ring analogues of the germination stimulant orobanchol have been described. Starting substrate is the ABC unit of the stimulant GR24. Oxidation at the C-4 position gives a 4-oxo derivative which on subsequent reduction produces two C-4 epimeric alcohols, syn and anti in a ratio of 82 : 3. For practical access of the C-4antialcohol, the predominant syn epimer is inverted by a Mitsunobu procedure. The antiC-4 alcohol is then coupled with the D-ring in a one-pot two-step process involving a formylation and a reaction with bromobutenolide to give a mixture of the diastereomeric aromatic A-ring analogues of orobanchol. In contrast, the synC-4 alcohol cannot be coupled directly with the D-ring. Protection of the C-4synOH is a prequisite. The best protecting function is the SEM group as deprotection after coupling with the D-ring can then readily be achieved. The structures of these new analogues have been ascertained by X-ray analyses. Both diastereomers of the C-4syn as well as the C-4antiorobanchol analogues have been tested as germination agents of seeds of Striga hermonthica and Orobanche ramosa. In addition, the acetates of both epimeric C-4 alcohols have been prepared and tested. Both diastereomers of the 4-oxo derivative have been prepared and bioassayed as well. The bioassays reveal that the diastereomers having the natural relative configuration are most active. The data also suggest that hydrogen bonding is not an important factor in the binding of the stimulant molecules in the receptor.

Graphical abstract: Aromatic A-ring analogues of orobanchol, new germination stimulants for seeds of parasitic weeds
平台客服
平台客服
平台在线客服