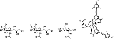
A europium complex bearing a phenylboronic acid group has been created that binds reversibly in methanol to sialic acid and lactic acid, as signalled by changes in the Eu total emission spectrum and the induction of strong circularly polarised luminescence. An analogue lacking the boronate moiety displays no spectral response towards sialic acid. The CPL signature is distinctive for sialic acid, and differs from that observed with methyl sialate and N-acetyl glucosamine. A hypothetical binding model is promulgated, where binding of the amide carbonyl to the Eu centre occurs at the same time as the terminal diol group of the glycerol moiety chelates to the boron atom.
