960化工网
Study of size and mass distribution of particulate matter due to crop residue burning with seasonal variation in rural area of Punjab, India
Amit Awasthi,Ravinder Agarwal,Susheel K. Mittal,Nirankar Singh,Khem Singh,Prabhat K. Gupta
Journal of Environmental Monitoring Pub Date : 02/25/2011 00:00:00 , DOI:10.1039/C1EM10019J
Abstract

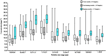
Emission from field burning of agricultural crop residue is a common environmental hazard observed in northern India. It has a significant potential health risk for the rural population due to respirable suspended particulate matter (RSPM). A study on eight stage size segregated mass distribution of RSPM was done for 2 wheat and 3 rice crop seasons. The study was undertaken at rural and agricultural sites of Patiala (India) where the RSPM levels remained close to the National Ambient Air quality standards (NAAQS). Fine particulate matter (PM2.5) contributed almost 55% to 64% of the RSPM, showing that, in general, the smaller particles dominated during the whole study period with more contribution during the rice crop as compared to that of wheat crop residue burning. Fine particulate matter content in the total RSPM increased with decrease in temperature. Concentration levels of PM10 and PM2.5 were higher during the winter months as compared to that in the summer months. Background concentration levels of PM10, PM2.5 and PM10−2.5 were found to be around 97±21, 57±15 and 40±6 μg m−3, respectively. The levels increased up to 66, 78 and 71% during rice season and 51, 43 and 61% during wheat crop residue burning, respectively. Extensive statistical analysis of the data was done by using pair t-test. Overall results show that the concentration levels of different size particulate matter are greatly affected by agricultural crop residue burning but the total distribution of the particulate matter remains almost constant.

Graphical abstract: Study of size and mass distribution of particulate matter due to crop residue burning with seasonal variation in rural area of Punjab, India
平台客服
平台客服
平台在线客服