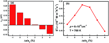
The electronic structures of a typical quaternary compound of stannite-type Cu2ZnSnSe4 under biaxial strain were investigated by using first-principles calculations, and its p-type thermoelectric properties were calculated on the basis of the semi-classical Boltzmann transport theory. It was found that biaxial strain can be a powerful tool to fine-tune the band structure and thermoelectric properties of stannite-type Cu2ZnSnSe4, and the enhancement of thermoelectric properties can be explained from the convergence of the valence bands near the Fermi level. The study offers valuable insight into band engineering via biaxial strain for improving thermoelectric performance of quaternary chalcogenides and similar materials.
