物竞编号 0K9W
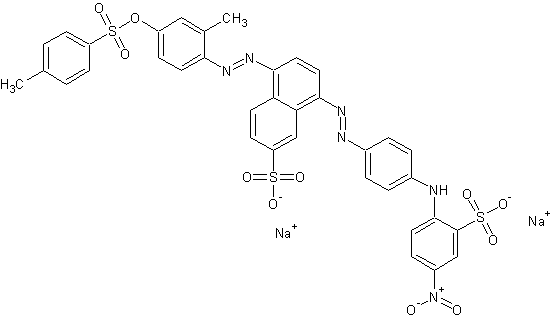
分子式 C36H26N6NaO11S3
分子量 860.80
标签 酸性橙51, CI 26550, ACID ORANGE 51, 2-naphthalenesulfonicacid,5(or8)-[[3-methyl-4-[[(4-methylphenyl)sulfonyl]oxy, acidorange51(c.i.26550), Acid Orange 51 (C.I.), C.I. Acid Orange 51, disodium 5(or 8)-(3-methyl-4-(4-methylphenylsulphonyloxy)phenylazo)-8(or 5)-4-(4-nitro-2

编号系统

CAS号:8003-88-1

MDL号:暂无

EINECS号:232-328-7

RTECS号:暂无

BRN号:暂无

PubChem号:暂无

物性数据

1.      性状:未确定

2.      密度(g/mL 25ºC):未确定

3.      相对蒸汽密度(g/mL,空气=1):未确定

4.      熔点(ºC常压):未确定

5.      沸点(ºC):未确定

6.      沸点(ºC,5.2kPa):未确定

7.      折射率(n20/D):未确定

8.      闪点(ºC,)未确定

9.      比旋光度(º):未确定

10.   自燃点或引燃温度(ºC):未确定

11.   蒸气压(kPa,25ºC):未确定

12.   饱和蒸气压(kPa,60ºC):未确定

13.   燃烧热(KJ/mol):未确定

14.   临界温度(ºC):未确定

15.   临界压力(KPa):未确定

16.   油水(辛醇/水)分配系数的对数值(25℃):未确定

17.   爆炸上限(%,V/V):未确定

18.   爆炸下限(%,V/V):未确定

19.   溶解性(mg/mL) :未确定

毒理学数据

暂无

生态学数据

暂无

分子结构数据

暂无

计算化学数据

暂无

性质与稳定性

暂无

贮存方法

暂无

合成方法

暂无

用途

暂无

安全信息

危险运输编码:暂无

危险品标志:暂无

安全标识:暂无

危险标识:暂无

文献

暂无

备注

暂无

表征图谱