物竞编号 09WV
分子式 C12H9F3N2O2
分子量 270.21
标签 5-Hydroxy-3-methyl-1-phenyl-4-trifluoroacetylpyrazole, 3-Methyl-1-phenyl-4-trifluoroacetyl-2-pyrazolin-5-one

编号系统

CAS号:1691-93-6

MDL号:MFCD00143378

EINECS号:暂无

RTECS号:暂无

BRN号:5969762

PubChem号:24885709

物性数据

1.       性状:未确定。

2.       密度(g/mL,25/4): 未确定

3.       相对蒸汽密度(g/mL,空气=1):未确定

4.       熔点(ºC):145-148

5.       沸点(ºC,常压):未确定

6.       沸点(ºC,5.2kPa): 未确定

7.       折射率: 未确定

8.       闪点(ºC): 未确定

9.       比旋光度(º): 未确定

10.    自燃点或引燃温度(ºC): 未确定

11.    蒸气压(kPa,25ºC): 未确定

12.    饱和蒸气压(kPa,60ºC): 未确定

13.    燃烧热(KJ/mol):未确定

14.    临界温度(ºC): 未确定

15.    临界压力(KPa): 未确定

16.    油水(辛醇/水)分配系数的对数值: 未确定

17.    爆炸上限(%,V/V):未确定

18.    爆炸下限(%,V/V): 未确定

19.    溶解性:未确定

毒理学数据

对眼睛、皮肤、粘有刺激作用

生态学数据

暂无

分子结构数据

1、   摩尔折射率:61.42

2、   摩尔体积(m3/mol):192.0

3、   等张比容(90.2K):481.1

4、   表面张力(dyne/cm):39.3

5、   介电常数(F/m):无可用

6、   极化率10-24cm3):23.34

计算化学数据

暂无

性质与稳定性

 常温常压下稳定,避免氧化物接触

贮存方法

储存在干爽的惰性气体下,保持容器密封,储存在阴凉,干燥的地方 

合成方法

暂无

用途

暂无

安全信息

危险运输编码:暂无

危险品标志:刺激

安全标识:S26 S36

危险标识:R36/37/38

文献

暂无

备注

暂无

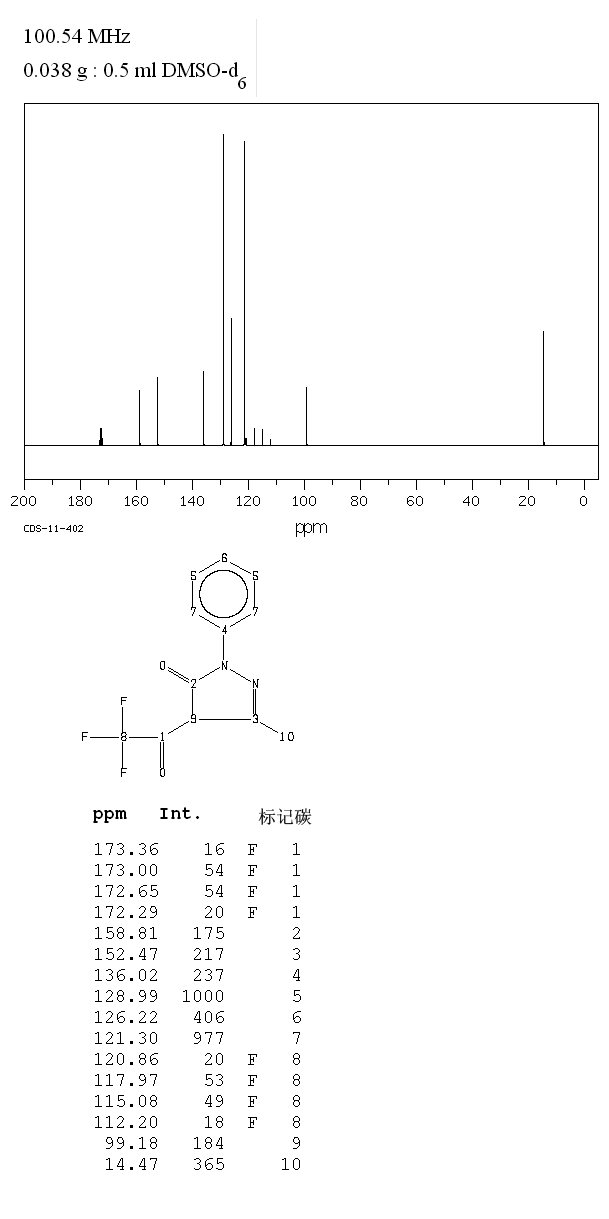
表征图谱