物竞编号 0EEU
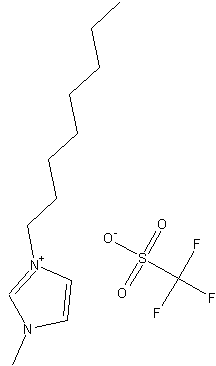
分子式 C13H23F3N2O3S
分子量 344.39
标签 1-甲基-3-正辛基三氟甲烷磺酸咪唑, 1-Methyl-3-n-octylimidazolium Triflate, 二取代咪唑型离子液体---N-甲基咪唑类

编号系统

CAS号:403842-84-2

MDL号:MFCD06411717

EINECS号:暂无

RTECS号:暂无

BRN号:暂无

PubChem号:24866585

物性数据

暂无

毒理学数据

暂无

生态学数据

暂无

分子结构数据

暂无

计算化学数据

暂无

性质与稳定性

暂无

贮存方法

暂无

合成方法

暂无

用途

暂无

安全信息

危险运输编码:暂无

危险品标志:刺激

安全标识:S26

危险标识:R36/37/38

文献

暂无

备注

暂无

表征图谱