物竞编号 01BR
分子式 C10H14N5O7P
分子量 347.22
标签 5'-腺嘌呤核苷酸, 5'-单磷酸腺苷, 5'-一磷酸腺苷, 5-磷酸腺苷, Muscle adenylic acid, Adenosine-5'-phosphoric acid , 5'-AMP, 5'-Adenylic acid, 临床用于播散性硬化

编号系统

CAS号:61-19-8

MDL号:MFCD00149360

EINECS号:200-500-0

RTECS号:AU7480500

BRN号:5205540

PubChem号:暂无

物性数据

1.       性状:白色结晶。易吸湿。对光敏感。

2.       密度(g/mL,25/4℃):未确定

3.       相对蒸汽密度(g/mL,空气=1):未确定

4.       熔点(ºC):183-188

5.       沸点(ºC,常压):未确定

6.       沸点(ºC, 5.2kPa):未确定

7.       折射率:未确定

8.       闪点(ºC):未确定

9.       比旋光度(º,c=2,2%氢氧化钠溶液中 ):-47.5

10.    自燃点或引燃温度(ºC):未确定

11.    蒸气压(kPa,25ºC):未确定

12.    饱和蒸气压(kPa,60ºC):未确定

13.    燃烧热(KJ/mol):未确定

14.    临界温度(ºC):未确定

15.    临界压力(KPa):未确定

16.    油水(辛醇/水)分配系数的对数值:未确定

17.    爆炸上限(%,V/V):未确定

18.    爆炸下限(%,V/V):未确定

 19.    溶解性:易溶于热水和丙酮,微溶于乙醇,不溶于乙醚。

毒理学数据

1、急性毒性:小鼠腹腔LC50:4mg/kg
2、繁殖毒性: 雌性大鼠腹腔TDLo:2800mg/kg,7-13天后受孕;雌性小鼠腹腔TCLo:2800mg/kg,7-13天后受孕
3、致突变性:突变测试系统-而不是其他specifiedTEST系统:人类细胞-不是另有规定:100umol/L;
   DNA的inhibitionTEST系统:啮齿动物-鼠肝:10mmol/L;
   突变测试系统-而不是其他specifiedTEST系统:啮齿动物-鼠肝:10mmol/L;
   突变测试系统-而不是其他specifiedTEST系统:啮齿动物-老鼠细胞-不是另有规定:50umol/L

生态学数据

暂无

分子结构数据

 

1、   摩尔折射率:69.90

2、   摩尔体积(cm3/mol):149.6

3、   等张比容(90.2K):515.5

4、   表面张力(dyne/cm):140.9

5、   极化率(10-24cm3):27.71

计算化学数据

1.疏水参数计算参考值(XlogP):无

2.氢键供体数量:5

3.氢键受体数量:11

4.可旋转化学键数量:4

5.互变异构体数量:3

6.拓扑分子极性表面积186

7.重原子数量:23

8.表面电荷:0

9.复杂度:481

10.同位素原子数量:0

11.确定原子立构中心数量:4

12.不确定原子立构中心数量:0

13.确定化学键立构中心数量:0

14.不确定化学键立构中心数量:0

15.共价键单元数量:1

性质与稳定性

腺苷酸是构成动物细胞核糖核酸的四种主要单核苷酸之一,系体内的能量传递物质,但比腺三磷 (ATP)稳定。具有显著的周围血管扩张和降压作用。

贮存方法

密封0℃以下干燥避光保存。

合成方法

暂无

用途

1.生化研究。

2.临床用于播散性硬化、卟啉症、瘙痒、肝病、静脉曲张性溃疡并发症。以腺苷酸成分为主的复合滴眼剂可用于眼疲劳、中心视网膜炎及角膜翳和疱疹等角膜表层疾患。

安全信息

危险运输编码:暂无

危险品标志:暂无

安全标识:S24/25

危险标识:暂无

文献

暂无

备注

暂无

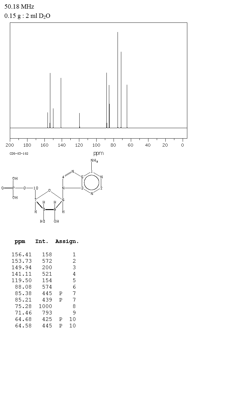
表征图谱