物竞数据库找到 554 种相关的化学品,用时 0.038177 秒

N-丁基脲

分子式:C5H12N2O
物竞编号:062J
CAS号:592-31-4

1-乙酰基-2-(四氢-2H-吡喃-2-基)异硫代脲

分子式:0
物竞编号:WJA39699
CAS号:88299-30-3

1-联苯基-2-基-3-{4-[(6-氯-1H-苯并咪唑-2-基)甲氧基]苯基}硫代脲

分子式:C11H18O4
物竞编号:WJA44184
CAS号:779355-47-4

1,1-二甲基-2-硒脲

分子式:C3H8N2Se
物竞编号:11R2
CAS号:5117-16-8

3-(4-氯苯基)-1,1-二(2-氰基乙基)脲

分子式:C12H22N2O2
物竞编号:WJA45648
CAS号:777941-28-3

3-氨甲酰-1,1-二乙基脲

分子式:C6H13N3O2
物竞编号:
CAS号:

脲基甲酸乙酯

分子式:C4H8N2O3
物竞编号:06TB
CAS号:626-36-8

脲-13C,15N2

分子式:H215N13CO15NH2
物竞编号:1ALH
CAS号:58069-83-3

3-溴苯基脲

分子式:C7H7BrN2O
物竞编号:0BY8
CAS号:2989-98-2

1,3-二甲基脲嘧啶

分子式:C6H8N2O2
物竞编号:07Y4
CAS号:874-14-6

仲丁基脲

分子式:C5H12N2O
物竞编号:WJA05006
CAS号:689-11-2

环己基脲

分子式:C7H14N2O
物竞编号:07BQ
CAS号:698-90-8

4-氟苯脲

分子式:C7H7FN2O
物竞编号:0765
CAS号:659-30-3

1-{4-[(6-氯-1H-苯并咪唑-2-基)甲氧基]苯基}-3-(2-甲氧苯基)硫代脲

分子式:C12H10N4
物竞编号:WJA44182
CAS号:779325-81-4

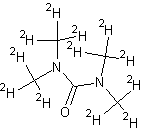
四甲脲-d12

分子式:C5D12N2O
物竞编号:12PT
CAS号:51219-89-7

4-溴苯脲

分子式:C7H7BrN2O
物竞编号:0AD6
CAS号:1967-25-5

3-二甲基氨基甲酰胺基-1,1-二甲基脲

分子式:C6H12N4O2
物竞编号:
CAS号:

脲,N,N'-二[1-甲基-1-[3-(1-甲基乙烯基)苯基]乙基]-

分子式:C11H19N3O
物竞编号:WJA36003
CAS号:801990-03-4

1,1-二乙基脲

分子式:C5H12N2O
物竞编号:06Z8
CAS号:634-95-7

邻氯苯基脲

分子式:C7H7ClN2O
物竞编号:1E6N
CAS号:114-38-5