6,6-Dimethyl-3-aza-bicyclof3.1.01hexane
|
|
|
- CAS-Nr.
- 943516-54-9
- Englisch Name:
- 6,6-Dimethyl-3-aza-bicyclof3.1.01hexane
- Synonyma:
- 6,6-DiMethyl-3-azabicyclo[3.1.0]hexane;(1R,5S)-6,6-diMethyl-3-azabicyclo[3.1.0]hexane;Vanillin Impurity 5;Nirmatrelvir Impurity 32;imethyl-3-azabicyclo[3.1.0]h;6-Dimethyl-3-azabicyclo[3.1.0]hexane;6,6-Dimethyl-3-aza-bicyclof3.1.01hexane;3-Azabicyclo[3.1.0]hexane, 6,6-dimethyl-;6,6-dimethyl-3-azabicyclic [3.1.0] hexane;6,6-DiMethyl-3-azabicyclo[3.1.0]hexane Boceprevir Ke
- CBNumber:
- CB12552900
- Summenformel:
- C7H13N
- Molgewicht:
- 111.18
- MOL-Datei:
- 943516-54-9.mol
|
6,6-Dimethyl-3-aza-bicyclof3.1.01hexane Eigenschaften
- Siedepunkt:
- 135℃
- Dichte
- 0.911
- Flammpunkt:
- 24℃
- storage temp.
- 2-8°C(protect from light)
- pka
- 11.51±0.40(Predicted)
- Aussehen
- Colorless to light yellow Liquid
- InChI
- InChI=1S/C7H13N/c1-7(2)5-3-8-4-6(5)7/h5-6,8H,3-4H2,1-2H3
- InChIKey
- BGOMFPZIMJCRDV-UHFFFAOYSA-N
- SMILES
- C12C(C1(C)C)CNC2
Sicherheit
- Risiko- und Sicherheitserklärung
- Gefahreninformationscode (GHS)
| RIDADR |
1993 |
|
|
| HazardClass |
3 |
|
|
| PackingGroup |
Ⅱ |
|
|
| HS Code |
2933998090 |
|
|
| Bildanzeige (GHS) |
|
| Alarmwort |
Warnung
|
| Gefahrenhinweise |
| Code |
Gefahrenhinweise |
Gefahrenklasse |
Abteilung |
Alarmwort |
Symbol |
P-Code |
| H317 |
Kann allergische Hautreaktionen verursachen. |
Sensibilisierung der Haut |
Kategorie 1A |
Warnung |
 |
P261, P272, P280, P302+P352,P333+P313, P321, P363, P501 |
| H319 |
Verursacht schwere Augenreizung. |
Schwere Augenreizung |
Kategorie 2 |
Warnung |
 |
P264, P280, P305+P351+P338,P337+P313P |
|
| Sicherheit |
| P280 |
Schutzhandschuhe/Schutzkleidung/Augenschutz tragen. |
| P305+P351+P338 |
BEI KONTAKT MIT DEN AUGEN: Einige Minuten lang behutsam mit Wasser spülen. Eventuell vorhandene Kontaktlinsen nach Möglichkeit entfernen. Weiter spülen. |
|
6,6-Dimethyl-3-aza-bicyclof3.1.01hexane Chemische Eigenschaften,Einsatz,Produktion Methoden
Verwenden
6,6-DiMethyl-3-azabicyclo[3.1.0]hexane Boceprevir is a Key interMediate.
Synthese
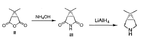
6,6-Dimethyl-3-aza-bicyclo[3.1.01]hexane was synthesised using carbonic anhydride (II) as the starting material. First, in the presence of a nitrogen source, compound II reacted with the catalyst (4-N,N-dimethylaminopyridine) to form the intermediate 6,6-Dimethyl-3-aza-bicyclo[3.1.0]hexane-2,4-dione (III). Finally, compound III was mixed with a THF solution of LiAlH₄ to continue the reaction. The reaction route is as follows:
6,6-Dimethyl-3-aza-bicyclof3.1.01hexane Upstream-Materialien And Downstream Produkte
Upstream-Materialien
Downstream Produkte
6,6-Dimethyl-3-aza-bicyclof3.1.01hexane Anbieter Lieferant Produzent Hersteller Vertrieb Händler.
Global( 249)Lieferanten
- 6,6-DiMethyl-3-azabicyclo[3.1.0]hexane Boceprevir Key interMediate
- 6,6-DiMethyl-3-azabicyclo[3.1.0]hexane
- (1R,5S)-6,6-diMethyl-3-azabicyclo[3.1.0]hexane
- 3-Azabicyclo[3.1.0]hexane, 6,6-dimethyl-
- 6-Dimethyl-3-azabicyclo[3.1.0]hexane
- WIDELY 6,6-DiMethyl-3-azabicyclo[3.1.0]hexane Boceprevir Key interMediate
- 6,6-DiMethyl-3-azabicyclo[3.1.0]hexane Boceprevir Key
- imethyl-3-azabicyclo[3.1.0]h
- 6,6-DiMethyl-3-azabicyclo[3.1.0]hexane Boceprevir Ke
- 6,6-dimethyl-3-azabicyclic [3.1.0] hexane
- Vanillin Impurity 5
- Nirmatrelvir Impurity 32
- 6,6-Dimethyl-3-aza-bicyclof3.1.01hexane
- 943516-54-9
- Boceprevir Key intermediate
- API
- 1
- 3