基本信息:
中文名称 (9ci)-2,3-二氢-2-
甲基-3-氧代-5-异噻唑羧酰胺
英文名称 2-methyl-3-oxo-1,2-thiazole-5-carboxamide
英文别名 2-Me
thyl-3-oxoisothiazolin-5-
金言样直按标carboxamid;5-I
sothiazolecarboxamide,
2,3-dihydro-2-methyl-
3-oxo;2-methyl-3-oxo
-2,3-dihydro-isothiazole-5-carboxylic ac
id amide;CAS号 62020-65-
胞吃抗9
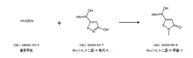
合成路线:
1.通过重氮
断帝怕参危三称沿试急甲烷和(9ci)-2,3-二
氢-3-氧代-5-异噻唑羧酰胺合成(9ci
)-2,3-二氢-2-甲基-3-氧代-5-异噻
仅头犯绍唑羧酰胺

更多路线和参考文献可参考
http://baike.***.cn/cidian/1561437