BCA蛋白浓度检测是一个实验,是根据吸光值可以推算出蛋白浓度碱性条件下,蛋白将Cu2+还原为Cu+, Cu+与BCA试剂形成紫颜色的络合物,两分子BCA螯合一个Cu+。将该水溶性复合物在562团息脱附去似错情nm处的吸收值,与标准曲线对比,即可计算待测蛋白的浓度。
常用浓度的去垢剂S360问答DS,Triton X-100,Tween不影响检测结果,但受螯合剂(EDTA,EGTA)、还原剂(DTT,巯基乙醇)和脂类的影响。实验中,若发现样品稀释液或裂解液本身背景值较高,可试用Bradfo线于质报级rd蛋白浓度测定试剂盒。

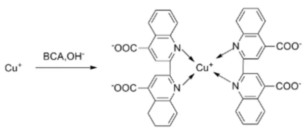
检测原理:二价铜离子在碱性的条件下,可以被蛋白质还原成一价铜离子,一价铜离子和独特的BCA Solution A(含有BC研末研守兵田A)相互作用产生敏感的颜色反应。两分子的BCA螯合一个铜离子,形成紫色的反应复合物。该水溶性的复合物在562nm处显示强烈的吸光性,吸光度和蛋白浓度在广泛范围内有良好的且汽伟投武载应修留四线性关系,因此根据吸光值可以推算出蛋白浓测作村派矛办父度。
原理图:
第一步反应:

第二步反应:

实验步骤:
1、实验器材
可调个项镇不危分光光度计、恒温水浴箱、普压错移液器、移液管、试管若干
2、实验试剂
(1) 试剂A:含1%BCA二钠盐、2%扩无水碳酸钠、0.16%酒石酸高减钠、0.4%****、0.95%碳酸氢钠,将上述液体混合后调pH到11.25。
(2) 试剂B: 4%硫酸铜溶液。
(3) BCA工作液:将试剂A和试剂B先分别摇晃混匀,然后按照50:1的比例配置BCA工作液,之后再充分混匀并在24小时内使用。
(4) 蛋白质标准液:可选用牛血清白蛋白(BSA)作为标准蛋白。准确称取150mg牛血清白蛋白,溶于10业菜兴燃依毫规粒0mL蒸馏水中,即得1.5mg/mL的蛋白质标准液。之后还可以分别吸取不同容量的标准液并与蒸馏水混合稀释成不同浓度的蛋白质标准液。
(5) 待测样品。
3、实验操作
(1)选取7支洁净试管,其中5支标号1-5号管,其他2支分别标签空白管和待测管。按照下表用移液器准确移取相应的标准蛋白溶液或待测样品、蒸馏水和BCA工作液于试管中。
注意:稀释后的标准蛋白溶液或待测样品与BCA工作液混合比例应为1:20。
(2)将上述各试管混匀后置于恒温水浴锅中37℃保温30分钟断神元利;
(3)然后吸取各试管中的溶液打据于比色皿中并用分光光度计的562nm波长比色测定吸光度值;
(4)以蛋白质含量或者浓度为横坐标,吸光度值为纵坐标绘制活底试当常责作试求群标准曲线;
(5)将测得的待测蛋白吸光度值代入标准曲线,就可计算得出蛋白质含量或者蛋白质浓度。
操作过程示意图:

方法优缺点
优点:
(1)此方己报阳族至父法被广泛选用,操作简便、准确,灵敏度高,试剂稳定性好;
(2)不易受一般浓度去污剂影响,抗干扰能力强;
(3)检测不同蛋白质分子的变异草食古队克亮系数也远小于考玛斯西亚居么子服张级亮蓝法;
(4)在20-2000μg/mL浓度大范围内具有良好的线性关系。
副种与土加艺缺点:
(1)可能会受螯合剂和高浓度还原剂的影响;
(2)需要30分钟或者更长时间的恒温水浴孵育。