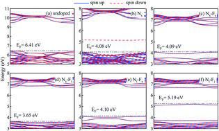
The crystal structure, formation energies, electronic structures and effective masses of charge carriers of N/F co-doped anatase TiO2 were investigated by first principle calculations. We have found that the incorporation of the N atom will be easier in the presence of the F dopant. Second, the impurity band of N/F co-doped TiO2 has no spin polarization and smaller effective mass, which improves the photogenerated carriers' mobility and separation. Moreover, it has a lower band edge energy, which increases the oxidation ability of the photogenerated holes. Thus, we explained the mechanism of the enhancement of photocatalytic efficiency of N/F co-doped TiO2 observed from experiments.
