960化工网
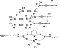
Luminescent film with terbium-complex-bridged polysilsesquioxanes†
Fengyi Liu,Lianshe Fu,Jun Wang,Qingguo Meng,Huanrong Li,Junfang Guo,Hongjie Zhang
New Journal of Chemistry Pub Date : 11/22/2002 00:00:00 , DOI:10.1039/B206815J
Abstract

A luminescent film with terbium-complex-bridged polysilsesquioxanes has been prepared by sol-gel processing of a new bifunctional monomer that combines the role of a sol-gel molecular precursor with a Tb3+ ion coordinate donor. The emission from Tb3+ ion due to ligand-to-metal energy transfer was observed by UV excitation.

Graphical abstract: Luminescent film with terbium-complex-bridged polysilsesquioxanes
平台客服
平台客服
平台在线客服