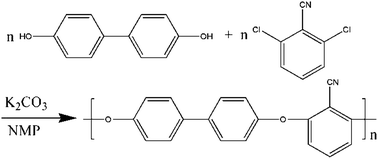
Randomly oriented multiwalled carbon nanotube (MWCNT)/polyarylene ether nitrile (PEN) composite films were prepared by a solution casting method. The as-prepared films then underwent monoaxial hot-stretching in an oven to enhance their orientations and crystallinities. Results showed that the hot-stretching process enhanced the mechanical and thermal properties significantly. The development of electrical conducting pathways during the monoaxial hot-stretching of MWCNT/PEN composite films was studied. Since the amount of MWCNT filler is close to the percolation threshold, ca. 6 wt%, the dielectric properties, electrical conductivity, breakdown strength and energy density were found to be very sensitive to the stretch ratio. The electrical conductivity of composites with a 50% stretch ratio increased from 5.2 × 10−5 S cm−1 to 1.6 × 10−4 S cm−1 (1 kHz). Besides, the dielectric constant of composites with a 50% stretch ratio increases significantly from 378.0 to 1298.1 (100 Hz). Most importantly, the composites with a 50% stretch ratio compensate some dielectric constant with breakdown strength, and finally, the energy density of the composites with a 50% stretch ratio increases by about 40%, from 2.51 to 3.50 J cm−3, and has huge potential to be used as organic film capacitors.
