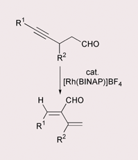
In CH2Cl2, [Rh(BINAP)]BF4 catalyzes the isomerization of 4-alkynals to dienals with excellent regio- and stereoselectivity; this new process compares favorably with previously reported methods for the synthesis of this class of compounds; a possible pathway for this unusual rearrangement is provided.
