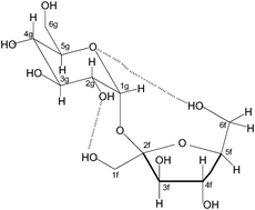
The 13C NMR chemical shifts of some common pyranose monosaccharides in D2O solution were predicted using a combined molecular mechanics (Pcmod 9.1/MMFF94) and ab initio (GIAO (B3LYP/DFT, 6-31G(d))) model. This method has been successfully used for a range of organic molecules in CDCl3 solution but has not previously been used for aqueous solutions. The method gave such good agreement with experiment that the populations of the conformers at C6 of the monosaccharides could be obtained. This has been attempted previously by various methods with diverse results. In all the compounds studied the α and β anomers have similar populations. In glucose the populations of the GG and GT conformers are ca equal with TG a minor component, in galactose GT has the largest population and GG the smallest, in mannose GG is preferred with TG a minor component and in talose GT and TG are favoured with GG a minor constituent. The results are in general agreement with previous work. To our knowledge this is the first time that 13C shifts have been used to determine sugar conformations in solution. The conformation of sucrose in D2O solution was examined by both 1H and 13C NMR. The complete analysis of the 1H NMR spectrum has been achieved and provides information on the preferred conformations of the CH2OH fragments at G6 (GG) and F6 (GG, GT). Calculations of the 13C shifts confirm these results and show also that the conformation at F1 is mainly GG plus TG. The sucrose conformational profile in solution includes the crystal structure together with the above conformations at F1 and F6.
