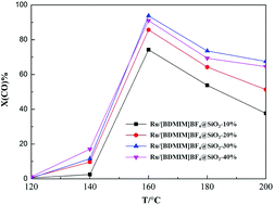
A series of SiO2-confined Ru3(CO)12 catalysts for the water–gas shift (WGS) reaction was synthesized using a sol–gel method with five different 1-butyl-2,3-dimethylimidazolium ionic liquids (ILs) with BF4−, NO3−, Cl−, OTf−, and NTf2−. FT-IR, XRD, BET, SEM/EDS, TEM, ICP, CO-TPD and TGA were used to determine the influence of the different IL structures and loadings (10–40%) on the structure of the synthesized silica gel, Ru dispersion, and WGS catalytic activity. The results revealed that hydrogen bond formation capability and size of the anion of ILs have significant and sensitive effects. Catalytic activity was tested at atmospheric pressure and low reaction temperatures ranging from 120 to 200 °C. The highest CO conversion of 93.7% was achieved at 160 °C, which showed an around 100 °C decrease compared to traditional catalysts.
