960化工网
Synthesis and biological properties of conjugates between fluoroquinolones and a N3′′-functionalized pyochelin†
Sabrina Noël,Véronique Gasser,Bénédicte Pesset,Françoise Hoegy,Didier Rognan,Isabelle J. Schalk,Gaëtan L. A. Mislin
Organic & Biomolecular Chemistry Pub Date : 09/14/2011 00:00:00 , DOI:10.1039/C1OB06250F
Abstract

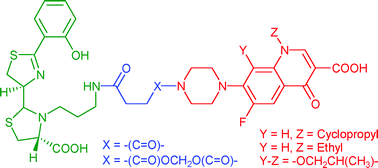
Pyochelin is a siderophore common to Pseudomonas aeruginosa and several other pathogenic bacteria. A pyochelin functionalized at the N3′′ position with a propyl-amine extension was previously synthesized. In the present work we proved that this analog binds FptA, the pyochelin outer membrane receptor, and transports iron(III) efficiently into bacteria. This functionalized pyochelin seemed to be a good candidate for antibiotic vectorization in the framework of a Trojan horse prodrug strategy. In this context, conjugates between pyochelin and three fluoroquinolones (norfloxacin, ciprofloxacin and N-desmethyl-ofloxacin) were synthesized with a spacer arm that was either stable or hydrolyzable in vivo. Some pyochelin–fluoroquinolone conjugates had antibacterial activities in growth inhibition experiments on several P. aeruginosa strains. However, these activities were weaker than those of the antibiotic alone. These properties appeared to be related to both the solubility and bioavailability of conjugates and to the stability of the spacer arm used.

Graphical abstract: Synthesis and biological properties of conjugates between fluoroquinolones and a N3′′-functionalized pyochelin
平台客服
平台客服
平台在线客服